How to solve Leetcode 160. Intersection of Two Linked Lists
Iterating two linked lists at the same time

Hi! My name is Nhut Nguyen. I am a software engineer and a writer in Copenhagen, Denmark.
Learn more about me at nhutnguyen.com
Problem statement
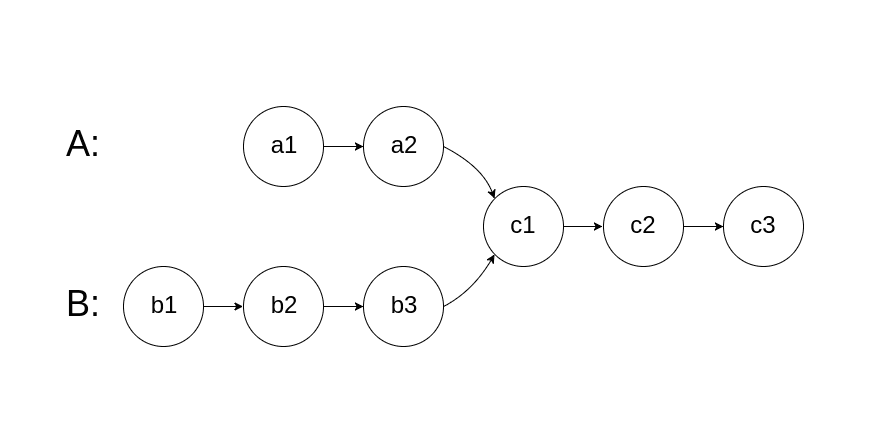
Given the heads of two singly linked-lists headA and headB, return the node at which the two lists intersect. If the two linked lists have no intersection at all, return null.
For example, the following two linked lists begin to intersect at node c1:

The test cases are generated such that there are no cycles anywhere in the entire linked structure.
Note that the linked lists must retain their original structure after the function returns.
Example 1

Input: listA = [4,1,8,4,5], listB = [5,6,1,8,4,5].
Output: Intersected at '8'
Example 2

Input: listA = [1,9,1,2,4], listB = [3,2,4]
Output: Intersected at '2'
Example 3

Input: listA = [2,6,4], listB = [1,5]
Output: No intersection.
Constraints
The number of nodes of
listAis in them.The number of nodes of
listBis in then.1 <= m, n <= 3 * 10^4.1 <= Node.val <= 10^5.
Follow up: Could you write a solution that runs in O(m + n) time and use only O(1) memory?
Solution 1: Store the nodes
You can store all nodes of listA then iterate listB to determine which node is the intersection. If none is found, the two lists have no intersection.
Example 1
Store all nodes of
listA = [4,1,8,4,5]in a map.Iterate
listBand found node'8'was stored.Return
'8'.
Code
#include <iostream>
#include <unordered_map>
using namespace std;
struct ListNode {
int val;
ListNode *next;
ListNode(int x) : val(x), next(NULL) {}
};
ListNode *getIntersectionNode(ListNode *headA, ListNode *headB) {
unordered_map<ListNode*, bool> m;
ListNode *node = headA;
while (node != nullptr) {
m[node] = true;
node = node->next;
}
node = headB;
while (node != nullptr) {
if (m.find(node) != m.end()) {
return node;
}
node = node->next;
}
return nullptr;
}
int main() {
{ // Example 1
ListNode five(5);
ListNode four(4);
four.next = &five;
ListNode eight(8);
eight.next = &four;
ListNode one1(1);
one1.next = &eight;
ListNode four1(4);
four1.next = &one1;
ListNode one2(1);
one2.next = &eight;
ListNode six2(6);
six2.next = &one2;
ListNode five2(5);
five2.next = &six2;
cout << (getIntersectionNode(&four1, &five2) == &eight) << endl;
}
{ // Example 2
ListNode four(4);
ListNode two(2);
two.next = &four;
ListNode one12(1);
one12.next = &two;
ListNode nine1(9);
nine1.next = &one12;
ListNode one11(1);
one11.next = &nine1;
ListNode three2(3);
three2.next = &two;
cout << (getIntersectionNode(&one11, &three2) == &two) << endl;
}
{ // Example 3
ListNode four(4);
ListNode six(6);
six.next = &four;
ListNode two(2);
two.next = &six;
ListNode five(5);
ListNode one(1);
one.next = &five;
cout << (getIntersectionNode(&two, &one) == nullptr) << endl;
}
}
Output:
1
1
1
Complexity
Runtime:
O(m + n), wherem, nare the number of nodes oflistAandlistB.Extra space:
O(m).
Solution 2: Reiterating the two lists at the same time
If the two lists do not share the same tail, they have no intersection. Otherwise, they must intersect at some node.
After iterating to find the tail node, you know the length of the two lists. That information gives you a hint of how to reiterate to find the intersection node.
Example 1
After iterating
listA = [4,1,8,4,5], you find the tail node is'5'andlistA.length = 5.After iterating
listB = [5,6,1,8,4,5], you find the tail node is the last'5'andlistB.length = 6.The two lists share the same tail. They must intersect at some node.
To find that intersection node, you have to reiterate the two lists.
Since
listB.length = 6 > 5 = listA.length, you can start iteratinglistBfirst until the number of its remaining nodes is the same aslistA. In this case, it is the node'6'oflistB.Now you can iterate them at the same time to find which node is shared.
Found and return the intersection node
'8'.
Code
#include <iostream>
#include <unordered_map>
using namespace std;
struct ListNode {
int val;
ListNode *next;
ListNode(int x) : val(x), next(NULL) {}
};
ListNode *getIntersectionNode(ListNode *headA, ListNode *headB) {
int lengthA = 0;
ListNode *nodeA = headA;
while (nodeA->next != nullptr) {
lengthA++;
nodeA = nodeA->next;
}
int lengthB = 0;
ListNode *nodeB = headB;
while (nodeB->next != nullptr) {
lengthB++;
nodeB = nodeB->next;
}
if (nodeA != nodeB) {
return nullptr;
}
nodeA = headA;
nodeB = headB;
while (lengthA > lengthB) {
nodeA = nodeA->next;
lengthA--;
}
while (lengthB > lengthA) {
nodeB = nodeB->next;
lengthB--;
}
while (nodeA != nodeB) {
nodeA = nodeA->next;
nodeB = nodeB->next;
}
return nodeA;
}
int main() {
{ // Example 1
ListNode five(5);
ListNode four(4);
four.next = &five;
ListNode eight(8);
eight.next = &four;
ListNode one1(1);
one1.next = &eight;
ListNode four1(4);
four1.next = &one1;
ListNode one2(1);
one2.next = &eight;
ListNode six2(6);
six2.next = &one2;
ListNode five2(5);
five2.next = &six2;
cout << (getIntersectionNode(&four1, &five2) == &eight) << endl;
}
{ // Example 2
ListNode four(4);
ListNode two(2);
two.next = &four;
ListNode one12(1);
one12.next = &two;
ListNode nine1(9);
nine1.next = &one12;
ListNode one11(1);
one11.next = &nine1;
ListNode three2(3);
three2.next = &two;
cout << (getIntersectionNode(&one11, &three2) == &two) << endl;
}
{ // Example 3
ListNode four(4);
ListNode six(6);
six.next = &four;
ListNode two(2);
two.next = &six;
ListNode five(5);
ListNode one(1);
one.next = &five;
cout << (getIntersectionNode(&two, &one) == nullptr) << endl;
}
}
Output:
1
1
1
Complexity
Runtime:
O(m + n), wherem, nare the number of nodes oflistAandlistB.Extra space:
O(1).






