How to solve Leetcode 104. Maximum Depth of Binary Tree
A simple recursive algorithm with a binary tree

Hi! My name is Nhut Nguyen. I am a software engineer and a writer in Copenhagen, Denmark.
Learn more about me at nhutnguyen.com
Problem statement
Given the root of a binary tree, return its maximum depth.
A binary tree's maximum depth is the number of nodes along the longest path from the root node down to the farthest leaf node.
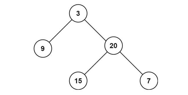
Example 1

Input: root = [3,9,20,null,null,15,7]
Output: 3
Example 2
Input: root = [1,null,2]
Output: 2
Constraints
The number of nodes in the tree is in the range
[0, 10^4].-100 <= Node.val <= 100.
Solution
You have the following recursive relationship between the root and its children.
maxDepth(root) = max(maxDepth(root->left), maxDepth(root->right))
Code
#include <iostream>
struct TreeNode {
int val;
TreeNode *left;
TreeNode *right;
TreeNode() : val(0), left(nullptr), right(nullptr) {}
TreeNode(int x) : val(x), left(nullptr), right(nullptr) {}
TreeNode(int x, TreeNode *left, TreeNode *right) : val(x), left(left), right(right) {}
};
int maxDepth(TreeNode* root) {
if (root == nullptr) {
return 0;
}
return 1 + std::max(maxDepth(root->left), maxDepth(root->right));
}
int main() {
TreeNode fifteen(15);
TreeNode seven(7);
TreeNode twenty(20, &fifteen, &seven);
TreeNode nine(9);
TreeNode three(3, &nine, &twenty);
std::cout << maxDepth(&three) << std::endl;
TreeNode two(2);
TreeNode one(1, nullptr, &two);
std::cout << maxDepth(&one) << std::endl;
}
Output:
3
2
Complexity
Runtime:
O(N), whereNis the number of nodes.Extra space:
O(N).






